成品大香伊煮蕉小辣椒
上海吉尔多肽有限公司
总机:021-61263333
热线:4006013200
手机:13917514027
传真:021-61263300
邮编:200241
总部地址:上海市紫月路519号
网址 :
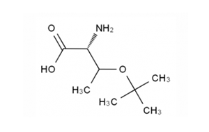
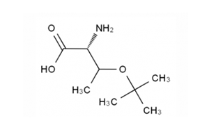
H-Thr(tBu)-OH CAS No.: 4378-13-6

O-tert-Butyl-L-threonine;L-Threonine-O-t-butylether;(2S,3R)-2-Amino-3-(tert-butoxy)butanoic acid; (2S,3R)-2-amino-3-[(2-methylpropan-2-yl)oxy]butanoic acid
Smiles: CC(OC(C)(C)C)[C@@H](N)C(O)=O |&1:7|