内页banner

产品分类

热门关键词

联系我们

成品大香伊煮蕉小辣椒

上海吉尔多肽有限公司

总机:021-61263333 

热线:4006013200

手机:13917514027  

传真:021-61263300

邮编:200241

邮箱:[email protected]  

总部地址:上海市紫月路519号 

网址   :     

TPTU

您的当前位置: 首 页 >> 产品中心 >> 缩合试剂

TPTU

  • 所属分类:缩合试剂

  • 点击次数:
  • 发布日期:2019/06/20
  • 规格:
  • 类型:
  • 在线询价
  • 详细介绍

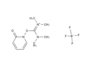
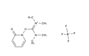
TPTU

TPTU

O-(2-氧代-1(2H)吡; O-(1,2-二氢-2-氧-1-吡啶基)-N,N,N',N'-四甲基脲四氟硼酸; N-甲基甲酰胺; O-[2-氧-1(2H)-吡啶基]-N,N,N',N'-四甲基脲四氟硼酸酯; TPTUO-(1,2-二氢-2-氧-吡啶基)--1,1,3,3-四甲基脲四氟硼酸酯;2-(2-Pyridon-1-yl)-1,1,3,3-tetramethyluronium tetrafluoroborate

本文网址:/product/598.html

关键词:TPTU厂家,TPTU价格,TPTU制造商

上一篇:TOTU
下一篇:TSTU

最近浏览:

相关产品:

相关新闻:

  • 在线客服
  • 联系电话
    13917514027
  • 在线留言
  • 手机网站
  • 在线咨询